Description
General Description
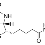
Biotin hydrazide is a biotinylation reagent and is useful for biotinylating macromolecules at carbohydrate groups that have been oxidized to form aldehydes and has been used to biotinylate glycoproteins with their sugar moieties. It can also be used to prepare biotin-conjugated alginate and for the covalent attachment to PAAc via carbodi-imide cross linking. The hydrazide group reacts to carbonyls resulting in a hydrazone linkage.
This reagent is typically utilized for labeling surface functional groups, biologically active molecules such as antibodies, lectins, sugars, nucleic acids or molecules with free carboxylic or keto groups.
CAS Number:Â Â Â Â Â Â Â Â Â 66640-86-6
Molecular Formula:Â Â Â C10H18N4O2S
Molecular Weight:Â Â Â Â Â 258.34
Form:Â Â Â Â Â Â Â Â Â Â Â Â Â Â Â Â White powder
Solubility:Â Â Â Â Â Â Â Â Â Â Â Â Highly soluble in DMSO (50mM), less soluble in water (5mM) and poorly soluble in DMF
Reactive Group:Â Â Â Â Â Â Â Hydrazide reacts with aldehydes at pH 4 to 6
Features and Benefits:
• Glycoprotein labeling— biotinylate glycosylated proteins at sialic acid residues for detection or purification using streptavidin probes or resins
• Cell surface labeling— biotinylate and isolate cell surface glycoproteins
• Aldehyde-reactive— reacts with aldehydes formed by periodate-oxidation of sugar groups
• Hydrazide-activated— perform reactions at pH 4 to 6 in buffers such as sodium acetate
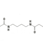
• Irreversible—forms semi-permanent hydrazone bonds; spacer arm cannot be cleaved
• Spacer arm length—15.7Å
Manual
Safety Datasheet
[vc_row][vc_column][vcex_button url=”`{`acf field=“safety“`}`” size=”large” text_source=”custom_text” aria_label=”Safety Datasheet” target=”blank” icon_left=”ticon ticon-file-pdf-o” icon_left_padding=”10px”]Safety Datasheet[/vcex_button][/vc_column][/vc_row]
Certificate of Analysis
Related products
Ammonium persulfate
$41.67 – $98.40Price range: $41.67 through $98.40
Select options
This product has multiple variants. The options may be chosen on the product page
Bacterial Protein Extraction Kit with Lysozyme
$233.84 – $457.26Price range: $233.84 through $457.26
Select options
This product has multiple variants. The options may be chosen on the product page
Brij®35 Purified Proteomic Grade
$174.80 – $331.08Price range: $174.80 through $331.08
Select options
This product has multiple variants. The options may be chosen on the product page
Coomassie Brilliant Blue R-250 Dye
$62.00 – $186.00Price range: $62.00 through $186.00
Select options
This product has multiple variants. The options may be chosen on the product page
IEF Anode Buffer [50X]
$32.41 – $61.35Price range: $32.41 through $61.35
Select options
This product has multiple variants. The options may be chosen on the product page
Tissue Protein Extraction Buffer
$133.40 – $253.58Price range: $133.40 through $253.58
Select options
This product has multiple variants. The options may be chosen on the product page
Tween® 80 Purified Proteomic Grade
$174.80 – $331.08Price range: $174.80 through $331.08
Select options
This product has multiple variants. The options may be chosen on the product page
Yeast Protein Extraction Kit
$231.53 – $446.51Price range: $231.53 through $446.51
Select options
This product has multiple variants. The options may be chosen on the product page
